| 일 | 월 | 화 | 수 | 목 | 금 | 토 |
|---|---|---|---|---|---|---|
| 1 | ||||||
| 2 | 3 | 4 | 5 | 6 | 7 | 8 |
| 9 | 10 | 11 | 12 | 13 | 14 | 15 |
| 16 | 17 | 18 | 19 | 20 | 21 | 22 |
| 23 | 24 | 25 | 26 | 27 | 28 | 29 |
| 30 |
- 딥러닝
- AdaGrad
- Python
- Apache2
- PICO CTF
- PHP
- PostgreSQL
- 파이썬
- 오차역전파법
- sgd
- C언어
- Python Challenge
- 설치
- 역전파
- 기울기
- HTML
- flag
- 아파치
- FastAPI
- 리뷰
- 백준
- 코딩
- 책
- 신경망 학습
- picoCTF
- CTF
- 소프트맥스 함수
- 순전파
- 우분투
- 신경망
- Today
- Total
Story of CowHacker
딥러닝 3.4 신경망 학습 본문
이번 글에서는 저번에 배웠던 기울기를 이제 신경망에서 구현해보겠다.
신경망에서 말하는 기울기는 가중치 매개변수에 대한 손실 함수의 기울기다.
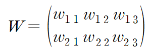
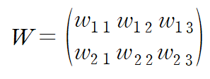
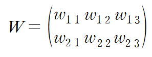
예를 들어 2 x 3 인 형상에서
가중치가 W, 손실 함수가 L인 신경망을 생각해보면

가중치 W를 수식으로 나타내면 그림 1이 된다.

그림 2는 경사를 수식으로 나타 냈을 때다.
해석해보면 각 원소는 각각의 원소에 관한 편미분이다.
예를 들어 1 행 1 번째 원소는 w11을 조금 변경했을 때 손실 함수 L이 얼마나 변화하느냐를 나타낸다.
여기서 중요한 점은 그림 2의 형상이 W와 같다는 것이다.
이제 한번 신경망에서 기울기를 구하는 코드를 짜 보겠다.
신경망에서의 기울기 코드
import sys, os
sys.path.append(os.pardir) # 부모 디렉터리의 파일을 가져올 수 있도록 설정
import numpy as num
from common.functions import softmax, cross_entropy_error
from common.gradient import numerical_gradient
class simpleNet:
def __init__( self ) :
self.W = num.random.randn ( 2,3 ) # 정규분포로 초기화
def predict ( self, x ) :
return num.dot ( x, self.W )
def loss ( self, x, t ) :
z = self.predict ( x )
y = softmax ( z )
loss = cross_entropy_error ( y, t )
return loss
코드 해석을 해보겠다.
simpleNet 클래스는 형상이 2 x 3인 가중치 매개변수 하나를 인스턴스 변수로 갖는다.
밑에 메서드는 2개가 있다.
predict 함수는 예측 값 구하기를 수행한다.
loss 함수는 손실 함수의 값 구하기를 수행한다.
여기서 인수 x는 입력 데이터, t는 정답 레이블이다.
이제 한번 가중치 매게 변수를 구해 보겠다.
가중치 매개변수 코드
import sys, os
sys.path.append(os.pardir) # 부모 디렉터리의 파일을 가져올 수 있도록 설정
import numpy as num
from common.functions import softmax, cross_entropy_error
from common.gradient import numerical_gradient
class simpleNet:
def __init__( self ):
self.W = num.random.randn ( 2,3 ) # 정규분포로 초기화
def predict ( self, x ) :
return num.dot ( x, self.W )
def loss ( self, x, t ) :
z = self.predict ( x )
y = softmax ( z )
loss = cross_entropy_error ( y, t )
return loss
net = simpleNet()
print ( net.W )
다음은 최댓값의 인덱스 구하기 코드를 짜 보겠다.
최댓값 인덱스 구하는 코드
import sys, os
sys.path.append ( os.pardir )
import numpy as num
from common.functions import softmax, cross_entropy_error
from common.gradient import numerical_gradient
class simpleNet:
def __init__( self ):
self.W = num.random.randn ( 2,3 ) # 정규분포로 초기화
def predict ( self, x ) :
return num.dot ( x, self.W )
def loss ( self, x, t ) :
z = self.predict ( x )
y = softmax ( z )
loss = cross_entropy_error ( y, t )
return loss
net = simpleNet()
x = num.array ( [ 0.6, 0.9 ] )
p = net.predict ( x )
print ( num.argmax ( p ) )
다음은 정답 레이블을 구하는 코드를 짜 보겠다.
정답 레이블 코드
import sys, os
sys.path.append ( os.pardir )
import numpy as num
from common.functions import softmax, cross_entropy_error
from common.gradient import numerical_gradient
class simpleNet:
def __init__( self ):
self.W = num.random.randn ( 2,3 ) # 정규분포로 초기화
def predict ( self, x ) :
return num.dot ( x, self.W )
def loss ( self, x, t ) :
z = self.predict ( x )
y = softmax ( z )
loss = cross_entropy_error ( y, t )
return loss
net = simpleNet()
x = num.array ( [ 0.6, 0.9 ] )
p = net.predict ( x )
t = num.array ( [ 0, 0, 1 ] )
print ( net.loss ( x, t ) )
이제 마지막으로 기울기를 구하는 코드를 짜 보겠다.
기울기 구하는 코드
import sys, os
sys.path.append(os.pardir) # 부모 디렉터리의 파일을 가져올 수 있도록 설정
import numpy as num
from common.functions import softmax, cross_entropy_error
from common.gradient import numerical_gradient
class simpleNet:
def __init__( self ):
self.W = num.random.randn ( 2,3 ) # 정규분포로 초기화
def predict ( self, x ) :
return num.dot ( x, self.W )
def loss ( self, x, t ) :
z = self.predict ( x )
y = softmax ( z )
loss = cross_entropy_error ( y, t )
return loss
net = simpleNet()
x = num.array ( [ 0.6, 0.9 ] )
t = num.array ( [ 0, 0, 1 ] )
def f ( W ):
return net.loss ( x, t )
dW = numerical_gradient ( f, net.W )
print ( dW )
앞에서 numerical_gradient ( f, x )를 언급했었는데,
인수 f는 함수이고, x는 함수 f의 인수다.
위 코드에서는 net.W를 인수로 받아 손실 함수를 계산하는 새로운 함수 f를 썼다.
그리고 새로 정의한 함수를 numerical_gradient ( f, x )에 넘긴다.
dW는 numerical_gradient ( f, net.W )의 결과 값이다.
기울기를 구하는 코드를 람다를 사용해서 구현해볼 수도 있다.
람다를 사용한 기울기 구하기 코드
import sys, os
sys.path.append(os.pardir) # 부모 디렉터리의 파일을 가져올 수 있도록 설정
import numpy as num
from common.functions import softmax, cross_entropy_error
from common.gradient import numerical_gradient
class simpleNet:
def __init__( self ):
self.W = num.random.randn ( 2,3 ) # 정규분포로 초기화
def predict ( self, x ) :
return num.dot ( x, self.W )
def loss ( self, x, t ) :
z = self.predict ( x )
y = softmax ( z )
loss = cross_entropy_error ( y, t )
return loss
net = simpleNet()
x = num.array ( [ 0.6, 0.9 ] )
t = num.array ( [ 0, 0, 1 ] )
f = lambda w : net.loss ( x, t )
dW = numerical_gradient ( f, net.W )
print ( dW )
이까지 신경망에서 기울기 구하는 것을 파이썬으로 구현해보았다.
'공부 > 딥러닝' 카테고리의 다른 글
| 딥러닝 4.0 오차역전파법 (0) | 2020.08.16 |
|---|---|
| 딥러닝 3.5 신경망 학습 (0) | 2020.08.14 |
| 딥러닝 3.3 신경망 학습 (0) | 2020.08.13 |
| 딥러닝 3.2 신경망 학습 (0) | 2020.08.13 |
| 딥러닝 3.1 신경망 학습 (0) | 2020.08.12 |